Kuwait assistance programme in Bangladesh
It is the cardinal policy of Kuwait to stand by its friends throughout the world. The late Amir of the State of Kuwait Sheikh Jaber Al-Ahmad Al-Jaber Al-Sabah, highlighted Kuwait's global outreach strategy in 1961 when he remarked during the establishment of Kuwait Fund for Arab Economic Development, 'Here we are embarking on the tides of change but we will never forget our friends'.
This support comes in the forms of loans and grants that go into the recipient country's development of infrastructure, strengthening of socio-economic status and different sectoral advancement.
With the establishment of diplomatic relations between Kuwait and Bangladesh in 1974, Kuwait evinced keen interest in providing soft loans to the newly independent country.
All forms of Kuwaiti official assistance to Bangladesh is channeled through Kuwait Fund for Arab Economic Development.
Kuwait attaches special importance to all requests from the Bangladesh Government with regard to financing partly or wholly, any development project.
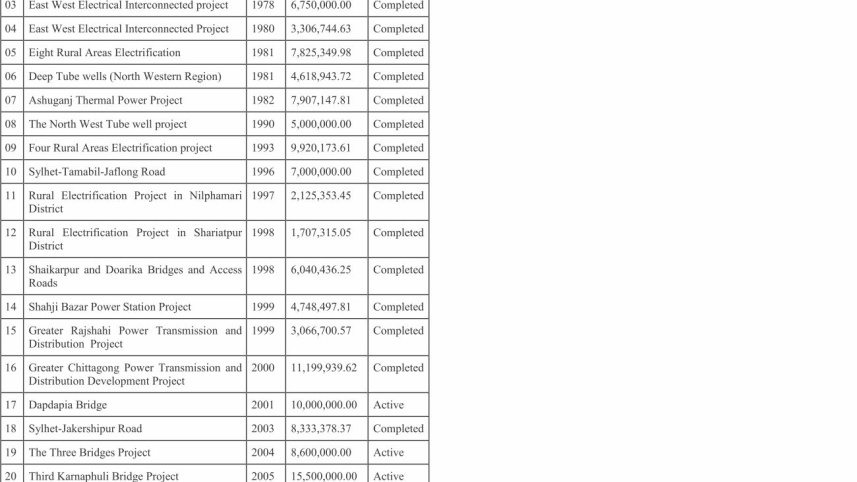
The main thrust of Kuwait Fund's operation in Bangladesh is in three core sectors. Financial loans have been provided for projects that have been identified as priority projects by the Government of Bangladesh. The sectors where Kuwaiti assistance has been extended are power and energy, communications and agriculture.
So far, Kuwait has provided loans for twenty four (24) development projects amounting to approximately half a billion dollar over a three decade period. These loans have been provided as soft loans with highly flexible terms and conditions and carry about 3 percent or less rate of interest to cover administrative and related expenses.
Most of these loans go in infrastructural development projects that when completed will impact the socio-economic life of the people in particular and the country in general. The projects when completed will promote inter-district connectivity within Bangladesh and on a broader perspective, it will lead to regional connectivity as a result of which Bangladesh stands to reap substantial economic gain. The underlying goal of the projects is to achieve regional peace, harmony and prosperity through greater economic cooperation through connectivity.
In addition to these loans, the Government of Kuwait also provided a grant equivalent to US $ 10 million to Palli Karma Sahayak Foundation (PKSF) from its Goodwill Fund to promote food security in Bangladesh.
Kuwait is committed to bring about a qualitative change in the socio-economic life of the people of Bangladesh through implementation of vital projects in different sectors.
Complementing the Kuwait Government's assistance program in Bangladesh, a number of Kuwaiti Non-Government Organizations have been working hand in hand with different socio-economic Organizations in Bangladesh to ameliorate the suffering of the poverty stricken people. In an effort to eradicate poverty in targeted areas, these organizations have initiated social welfare projects that go way beyond the original policy of building mosques, financing madrasas and sponsoring orphans. These Organizations have invested around US $ 350 million on different projects. Some of the major areas where the fundings were channeled are given below:
1. Hospital and Clinics
2. Students Dormitory
3. Clustered Villages
4. Income generating Schemes like supply of cattle, goats, setting small shops, providing sewing machines, providing rickshaws, vans and carts.
5. Supplying seeds, and water pumps to farmers
6. Sinking tube wells for providing safe drinking water
7. Madrasas and libraries
8. Vocational Training Centres
9. Mosques
10. Orphanages and orphan sponsorship
The concerted efforts by the Government and NGOs of Kuwait have served significantly as building bridges of friendship and cooperation between Kuwait and Bangladesh.
Kuwait takes great pride in its role as a partner and facilitator in the development stride of Bangladesh.
Comments